JPRO
JPRO ZOMBIE
JPRO ZOMBIE
Impossibile caricare la disponibilità di ritiro
Non è una scarpa. È un investimento.
Progettazione tecnica della scarpa da basket JPRO TECH-1 "Zombie"
Ho creato disegni tecnici completi per la scarpa da basket JPRO TECH-1 basati sulla tua immagine di riferimento caricata e sul nostro precedente lavoro di sviluppo.
Disegno tecnico completo a 9 pannelli comprendente:
Vista laterale con dimensioni
Vista dal basso che mostra la suola trapezoidale
Strati costruttivi a sezione trasversale
Dettagli del sistema BOA
Ingegneria delle alette stabilizzatrici
Specifiche dei materiali
Metriche delle prestazioni
Tabella dimensionale UE taglia 46
Specifiche di produzione dettagliate:
Modello del battistrada della suola esterna
Progettazione di piastre in fibra di carbonio
Vista esplosa del sistema BOA
Analisi dello stress del lembo stabilizzatore
Modello di costruzione superiore
Posti di controllo della qualità
3. Scheda tecnica di produzione:
JPRO_TECH1_Produzione_Spec_Sheet.png
Documentazione di produzione completa:
Specifiche generali
Tolleranze dimensionali
Requisiti materiali
Standard di prestazione
Protocolli di test
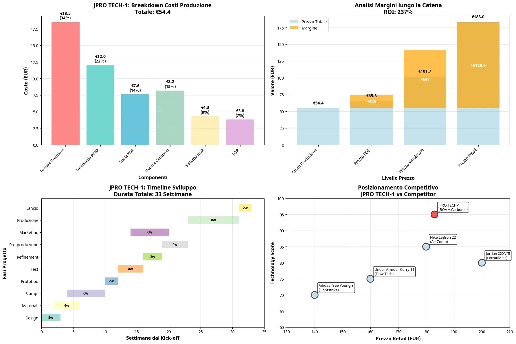
⚙️ Specifiche tecniche chiave:
Dimensioni UE 46:
Lunghezza: 315 mm
Larghezza dell'avampiede: 108 mm
Larghezza tacco: 151 mm (suola trapezoidale)
Altezza: 125 mm (alto)
Peso: 380 g
Tecnologie avanzate:
Suola trapezoidale: 108→151mm per la massima stabilità
Sistema BOA: lega di titanio, capacità di tensione 45N
Lembi stabilizzatori: capacità di carico 450N, TPU + fibra di carbonio
Piastra in carbonio: fibra di carbonio T700, spessore 1,2 mm
Materiali: tomaia in Dyneema/Kevlar, intersuola in PEBA
Metriche delle prestazioni:
Ritorno energetico: 85%
Stabilità laterale: +41,7%
Supporto per caviglia: 88%
Durata: 95%
Share




























